Se define como el valor mas representativo de una serie de valores, es una medida de tendencia central. Es importante señalar que el promedio y media aritmética tienen el igual significado.
Los promedios se dividen en simples, agrupados y en ponderados.
Se denota por promedio simple:
Teniendo una serie de valores X1, X2, X3,...,Xn, Su formula de cálculo viene dada por la siguiente expresión:
Es decir, sumatoria de todos los valores y el resultado lo divido entre el numero de datos
Ejemplo:
Las edades de un grupo de niños son las siguientes: 2; 4; 6; 8; 10
para calcular el promedio o media aritmética
2 +4 +6 +8 + 10 30
X = ---------------------- = ----- = 6
5 5
Interpretación: el promedio de edades de los 5 niños es de 6 años
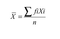
MEDIA ARITMÉTICA O PROMEDIO PARA DATOS AGRUPADOS
donde: Xi = punto medio de cada intervalo de una distribución de frecuencias
fi = frecuencia absoluta de cada intervalo
n = total de datos
Ejemplo:
La siguiente distribución representa los minutos de lectura de un grupo de estudiantes que asisten a la biblioteca
Minutos de
Lectura Fi
0----------10 4
10,1------20 3
20,1------30 2
30,1------40 1
Paso 1: Hallar el Punto medio de cada intervalo, es decir, en el ejemplo el punto medio para el primer intervalo es la mitad entre 0 y 10 el cual es igual a 5, y así sucesivamente, calculamos los siguientes puntos medios
Minutos de
Lectura Fi Xi
0----------10 4 5
10,1------20 3 15
20,1------30 2 25
30,1------40 1 35
Paso 2: Multiplicar cada punto medio por la frecuencia absoluta
Minutos de
Lectura Fi Xi FiXi
0----------10 4 5 20
10,1------20 3 15 45
20,1------30 2 25 50
30,1------40 1 35 35
Paso 3: Hallamos la sumatoria de esa columna
Minutos de
Lectura Fi Xi FiXi
0----------10 4 5 20
10,1------20 3 15 45
20,1------30 2 25 50
30,1------40 1 35 35
Total 10 150
Paso 4: Hallamos el promedio dividiendo el valor de la sumatoria de FiXi = 150 entre el numero de datos que son 10
⤲ = 150/10 = 15 es decir que 15 minutos es el promedio de lectura de los 10 estudiantes
MEDIA ARITMÉTICA O PROMEDIO PONDERADO
Su formula de calculo es:
Donde : Xi = valor de la variable i-esima
Wi = peso o importancia
Ejemplo
Las Notas y el numero de créditos de cada cátedra o materia de un semestre de la alumna "Daniela Carolina" son las siguientes:
Cátedra Crédito (Wi) Nota (Xi)
---------------------------------------------------
Contabilidad 3 10
Matemáticas 4 12
Inglés 2 16
Estadística 6 14
Paso 1: Multiplicar peso por nota
Cátedra Crédito (Wi) Nota (Xi) XiWi
----------------------------------------------------------------------
Contabilidad 3 10 30
Matemáticas 4 12 48
Inglés 2 16 32
Estadística 6 14 84
Paso 2: Hallamos la sumatoria de los créditos y la de la columna XiFi
Cátedra Crédito (Wi) Nota (Xi) XiWi
----------------------------------------------------------------------
Contabilidad 3 10 30
Matemáticas 4 12 48
Inglés 2 16 32
Estadística 6 14 84
Total 15 194
Paso 3: el promedio ponderado es ⤲w = 194/15 = 12,93 es la nota promedio ponderada de ese semestre de la alumna Daniela Carolina
MEDIANA
0-------------------------------N
N/2
La mediana es una medida de tendencia central que divide la población en dos partes iguales, 50% para la derecha y 50% para la izquierda
Se denota con Md
Ejemplo : las edades de un grupo de niños son 2; 6; 4; 8; 10
primero ordenamos y luego seleccionamos el valor central 2; 4; 6; 8; 10 luego el valor central es el 6
Md = 6
Ejemplo: las edades de un grupo de personas son las siguientes: 10; 20; 30; 40; 50; 60
para hallar mediana primero ordenamos los valores o datos y luego seleccionamos los dos valores centrales, sumamos y dividimos entre 2
Md = (30+40)/2 = 35
MEDIANA PARA DATOS AGRUPADOS
Su formula de cálculo es:
Donde: Li = Limite inferior del intervalo donde esta la mediana
Fi-1 = Frecuencia acumula anterior a la clase donde esta la mediana
fi = frecuencia absoluta donde esta la mediana
ai = Tamaño del intervalo
Ejemplo
La siguiente distribución representa los minutos de lectura de un grupo de estudiantes que asisten a la biblioteca
Minutos de
Lectura fi
0----------10 4
10,1------20 3
20,1------30 2
30,1------40 1
Total 10
para hallar la media vamos a seguir estos pasos.
Paso 1: Hallar N/2 = 10/2 = 5
Paso 2: Hallar la frecuencia acumulada, para ello insertamos una columna a la derecha de la distribución
Minutos de
Lectura fi Fi
0----------10 4 4
10,1------20 3 7
20,1------30 2 9
30,1------40 1 10
Total 10
Paso 3: Preguntaremos por la regla de decisión ¿Frecuencia Acumulada es mayor e igual a N/2?
Aquí comenzamos a comparar 4 es mayor e igual a 5? la respuesta es "no", entonces, en el primer intervalo no esta la mediana
pasamos al segundo valor de la frecuencia acumulada... 7 es mayor e igual 5? "si", entonces, en el intervalo de 10, 1 a 20 se encuentra la mediana
Minutos de
Lectura fi Fi
0----------10 4 4
10,1------20 3 7
20,1------30 2 9
30,1------40 1 10
Total 10
Luego buscamos los parámetros de la formula
Li = 10,1 Fi -1 = 4 fi = 3 ai = 20-10,1 = 9,9
Sustituimos en la formula Me = 10,1 + (5-4)*9,9 = 13,4
------
3
MODA: es le valor que mas se repite
Ejemplo : Las edades de 6 niños son las siguientes: 2; 4; 6; 8; 4 la moda seria = 4
En una serie de datos puede haber mas de una moda o puede que no haya moda
El siguiente vídeo es recomendado para aclarar alguna duda:
y aquí les dejo un enlace para cualquier duda https://blogs.ua.es/violeta/tag/videos/
para cualquier consulta Zavafree@gmail.com

No hay comentarios.:
Publicar un comentario